切换至 "中华医学电子期刊资源库"

中华老年病研究电子杂志 ›› 2025, Vol. 12 ›› Issue (04) : 26 -32. doi: 10.3877/cma.j.issn.2095-8757.2025.04.005

临床研究

基于磁共振成像参数的可解释性机器学习模型对老年乳腺癌前哨淋巴结转移的预测价值
康煜1, 李刚2, 高琴1, 李汉杰2, 张夏萌1, 李建华3,()   
  1. 1710038 西安,西安医学院第二附属医院医学影像科
    2710038 西安,西安医学院第二附属医院胸外科
    3710038 西安,西安医学院第二附属医院住院检验科
  • 收稿日期:2025-10-15 出版日期:2025-11-28
  • 通信作者: 李建华
  • 基金资助:
    西安市科技局医学研究一般项目(24XYYJ0188)

The predictive value of an interpretable machine learning model based on MRI parameters for sentinel lymph node metastasis in elderly patients with breast cancer

Yu Kang1, Gang Li2, Qin Gao1, Hanjie Li2, Xiameng Zhang1, Jianhua Li3,()   

  1. 1Department of Medical Imaging, the Second Affiliated Hospital of Xi'an Medical University, Xi'an 710038, China
    2Department of Thoracic Surgery, the Second Affiliated Hospital of Xi'an Medical University, Xi'an 710038, China
    3Department of Laboratory, the Second Affiliated Hospital of Xi'an Medical University, Xi'an 710038, China
  • Received:2025-10-15 Published:2025-11-28
  • Corresponding author: Jianhua Li
引用本文:

康煜, 李刚, 高琴, 李汉杰, 张夏萌, 李建华. 基于磁共振成像参数的可解释性机器学习模型对老年乳腺癌前哨淋巴结转移的预测价值[J/OL]. 中华老年病研究电子杂志, 2025, 12(04): 26-32.

Yu Kang, Gang Li, Qin Gao, Hanjie Li, Xiameng Zhang, Jianhua Li. The predictive value of an interpretable machine learning model based on MRI parameters for sentinel lymph node metastasis in elderly patients with breast cancer[J/OL]. Chinese Journal of Geriatrics Research(Electronic Edition), 2025, 12(04): 26-32.

目的

探讨基于磁共振成像(MRI)参数的可解释性机器学习模型对老年乳腺癌前哨淋巴结转移的预测价值。

方法

回顾性选取2019年1月至2025年9月于西安医学院第二附属医院收治的老年乳腺癌患者93例,收集其临床资料及动态增强磁共振成像(DCE-MRI)、扩散加权成像(DWI)图像。采用LASSO回归进行特征筛选,基于特征筛选,分别构建多因素Logistic回归(MLR)、极端梯度提升(XGboost)、支持向量机(SVM)、随机森林(RF)预测模型。采用受试者工作特征曲线下面积(AUC)、准确率、敏感度、特异度评估模型区分度,结合校准曲线与决策曲线分析模型校准度与临床净获益。采用SHAP方法对最佳模型进行可解释性分析。计量资料的比较采用t检验,计数资料的比较采用χ2检验。

结果

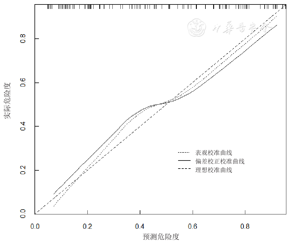
前哨淋巴结活检阳性45例(转移组),阴性48例(无转移组)。与无转移组相比,转移组Ki-67高表达比例、环形强化比例、邻近血管增多阳性比例、肿瘤最大径、长短径比及早期强化率均更高,相对表观弥散系数(rADC)更低,差异均有统计学意义(χ2=5.604、3.930、3.891,t=2.083、4.313、5.055、2.408,P<0.05或0.01)。经LASSO筛选,进入模型的5个特征为早期强化率、rADC、环形强化、长短径比和Ki-67指数。模型性能比较显示,XGBoost模型的预测效能最高(AUC=0.915,95%CI:0.870~0.950;准确率85.7%,灵敏度83.3%,特异度86.7%),其校准曲线最接近理想对角线,且在阈值概率0.2~1.0区间内临床净获益最高。SHAP分析揭示,早期强化率是对模型贡献最大的特征,其次为rADC、环形强化、Ki-67指数和长短径比。

结论

基于术前多参数MRI与临床变量构建的XGBoost模型,可有效预测老年乳腺癌前哨淋巴结转移状态;SHAP可解释性分析明确了瘤周影像特征的关键作用,增强模型透明度与临床可信度。

Objective

To explore the value of interpretable machine learning (ML) models based on magnetic resonance imaging (MRI) parameters in predicting sentinel lymph node metastasis (SLNM) in elderly patients with breast cancer.

Methods

This single-center retrospective study enrolled 93 elderly (≥60 years) breast cancer patients diagnosed between January 2019 and September 2025. Clinical data and preoperative dynamic contrast-enhanced MRI (DCE-MRI) and diffusion-weighted imaging (DWI) images were collected. LASSO regression was used for feature selection. Based on the selected five features, four predictive models were constructed: multivariate logistic regression, extreme gradient boosting (XGBoost), support vector machine (SVM), and random forest (RF). The models' discrimination ability was evaluated using the area under the receiver operating characteristic curve (AUC), accuracy, sensitivity, and specificity. Calibration and clinical net benefit were assessed via calibration curves and decision curve analysis. SHapley Additive exPlanations (SHAP) was employed for interpretability analysis of the best-performing model. T test was used to compared the measurement data, Chi-square test was used to compared the count data.

Results

Forty-five cases were positive for sentinel lymph node biopsy (metastasis group), and 48 cases were negative (non-metastasis group). Compared with the non-metastatic group, the metastatic group exhibited higher proportion of Ki-67 high expression, larger tumor maximum diameter, higher long-to-short diameter ratio, higher proportions of annular enhancement and adjacent vascular proliferation, and higher early enhancement rate, along with a lower relative apparent diffusion coefficient (rADC), all with statistically significant differences (χ2=5.604, 3.930, 3.891; t=2.083, 4.313, 5.055, 2.408; P < 0.05 or P < 0.01). Five features were selected by LASSO for model construction: early enhancement rate, rADC, annular enhancement, long-to-short diameter ratio, and Ki-67 index. The XGBoost model demonstrated the best predictive performance (AUC=0.915, 95%CI: 0.870-0.950; accuracy=85.7%, sensitivity=83.3%, specificity=86.7%), with its calibration curve closest to the ideal diagonal and the highest clinical net benefit in the probability threshold range of 0.2-1.0. SHAP analysis revealed that early enhancement rate contributed the most to the model predictions, followed by rADC, annular enhancement, Ki-67 index, and long-to-short diameter ratio.

Conclusion

The XGBoost model integrating preoperative multiparametric MRI and clinical variables can effectively predict sentinel lymph node metastasis status in elderly breast cancer patients. SHAP interpretability analysis elucidates the contribution of key imaging and pathological features, enhancing model transparency and clinical credibility.

表1 前哨淋巴结转移组与无转移组临床及病理特征的比较[ ±s或例(%)]
表2 前哨淋巴结转移组与无转移组MRI特征的比较[ ±s或例(%)]
表3 基于LASSO回归筛选的预测特征及其系数
表4 4种模型预测乳腺癌前哨淋巴结转移性能的比较
图1 XGBoost模型预测乳腺癌前哨淋巴结转移的校准曲线
图2 XGBoost模型预测乳腺癌前哨淋巴结转移的决策曲线
图3 XGBoost模型的SHAP可解释性分析图。3a、3b为SHAP值散点图;3c为SHAP值贡献趋势条形图;3d为SHAP值瀑布图 注:rADC为相对表观弥散系数
[1]
孔维嘉,孙玉婷,葛媛莎,等.1990—2021年全球及中国老年乳腺癌发病趋势分析及2022—2035年变化趋势预测[J].中国肿瘤202534(10):813-820.
[2]
史立波,高路明.保乳结合前哨淋巴结活检术在老年乳腺癌诊治中的研究进展[J].老年医学与保健202430(6):1842-1845.
[3]
虞浩,徐雪松,肖秀娣.前哨淋巴结活检联合保乳手术治疗老年早期乳腺癌的效果分析[J].中国社区医师202440(30):38-40.
[4]
中国抗癌协会乳腺癌专业委员会,中华医学会肿瘤学分会乳腺肿瘤学组.中国抗癌协会乳腺癌诊治指南与规范(2024年版)[J].中国癌症杂志202333(12):1092-1187.
[5]
Boehm KM, Nahhas OSM El, Marra A, et al. Multimodal histopathologic models stratify hormone receptor-positive early breast cancer[J]. Nat Commun, 2025, 16(1):2106.
[6]
Duo Z, Lexin Y, Yu J, et al. Machine learning-based models for the prediction of breast cancer recurrence risk[J]. BMC Med Inform Decis Mak, 2023, 23(1):276.
[7]
中国抗癌协会乳腺癌专业委员会.中国抗癌协会乳腺癌诊治指南与规范(2019年版)[J].中国癌症杂志201929(8):609-680.
[8]
Hsuan-Wen L, Yu-An C, Ka-Wai T. Surgical treatments for older breast cancer patients: A systematic review and meta-analysis of real-world evidence[J]. Surgery, 2024, 176(6):1576-1590.
[9]
Parks RM, Alfarsi LH, Green AR, et al. Biology of primary breast cancer in older women beyond routine biomarkers[J]. Breast Cancer, 2021, 28(5):991-1001.
[10]
Yunfang Y, Yujie T, Chuanmiao X, et al. Development and validation of a preoperative magnetic resonance imaging radiomics-based signature to predict axillary lymph node metastasis and disease-free survival in patients with early-stage breast cancer[J]. JAMA Netw Open, 2020, 3(12):e2028086.
[11]
Roman B, Daniela S, Zuzana G, et al. Classic and new markers in diagnostics and classification of breast cancer[J]. Cancers (Basel), 2022, 14(21):5444.
[12]
王荣甲,周勇,张中南.术前DCE-MRI联合ADC值对乳腺癌前哨淋巴结转移的预测价值[J].黑龙江医药科学202548(10):26-29.
[13]
Xue L, Kun S, Weimin C, et al. Role of breast MRI in predicting histologic upgrade risks in high-risk breast lesions: A review[J]. Eur J Radiol, 2021, 142:109855.
[14]
Okcu O, Öztürk Ç, Şen B. Tumor budding and Ki-67 proliferation index as biomarkers for NAC response and prognosis in breast cancer[J]. Future Oncol, 2025, 21(22):2885-2893.
[15]
Jamshiya P, Soundarya R, Bheemanathi HS, et al. Analysis of tumor proliferation markers in early-stage luminal breast cancer: A comprehensive study using mitotic activity index, Ki-67, and phosphohistone H3 expression[J]. Int J Surg Pathol, 2025, 33(4):882-890.
[1] 张娟敏, 王海, 曹弋娜, 曾欣, 查湘军, 刘莹, 周鸿, 周洋. 响应性纳米平台联合高强度聚焦超声增强三阴乳腺癌铁死亡及免疫治疗的研究[J/OL]. 中华医学超声杂志(电子版), 2026, 23(01): 67-76.
[2] 仲洋杨, 邓舒瑶, 李永杰, 李庄. 男性隐匿性乳腺癌一例[J/OL]. 中华乳腺病杂志(电子版), 2026, 20(01): 60-63.
[3] 叶佳慧, 张建薇, 葛兆霞, 沈艳婷, 马慧珍, 房芳, 张寅. 完全植入式输液港在高龄非肿瘤患者中的长期安全性及风险因素分析[J/OL]. 中华普外科手术学杂志(电子版), 2026, 20(02): 191-194.
[4] 张迪, 王素美, 陈阳, 熊霞鹂, 梁兵, 白雁飞, 郑雪云, 李华. 老年女性盆腔器官脱垂手术患者合并症分布及多学科诊疗围手术期管理效果分析[J/OL]. 中华疝和腹壁外科杂志(电子版), 2026, 20(02): 206-212.
[5] 戴宗伯, 张城硕, 郭庭维, 何知远, 赵昊宇, 张宇慈, 张佳林. 基于MRI影像组学机器学习构建肝细胞癌微血管侵犯预测模型[J/OL]. 中华肝脏外科手术学电子杂志, 2026, 15(01): 36-44.
[6] 刘郁芳, 赵青. 直肠癌MRI影像学评估:从精准分期到预后预测的研究进展与展望[J/OL]. 中华结直肠疾病电子杂志, 2026, 15(01): 31-36.
[7] 汤为, 文海涛, 屈耀铭, 马安东, 黄成燕, 芮琦虹, 蒋春秀, 王显龙. 脑实质内表皮样囊肿影像特征及误判分析[J/OL]. 中华神经创伤外科电子杂志, 2026, 12(01): 39-44.
[8] 王晓伟, 杨红梅, 孙天胜, 刘智, 刘川, 高杰. 髓内钉治疗老年股骨转子间骨折术后内固定相关并发症预测模型建立与验证[J/OL]. 中华老年骨科与康复电子杂志, 2026, 12(01): 38-46.
[9] 高增霞, 贺云飞, 赵娜. DCE-MRI联合Gd-EOB-DTPA MRI纹理特征对肝细胞癌经导管动脉化疗栓塞术后疗效的评估[J/OL]. 中华消化病与影像杂志(电子版), 2026, 16(02): 108-113.
[10] 常莉娜, 刘囡囡. DWI联合DCE-MRI定量参数对局部进展期直肠癌新辅助治疗后病理完全缓解的预测价值[J/OL]. 中华消化病与影像杂志(电子版), 2026, 16(02): 125-129.
[11] 肖骥峰, 廖兴志, 汤燕彬, 陈湉, 施冬冬, 乔燕. 环泊酚复合小剂量艾司氯胺酮在老年患者腹腔镜胆囊切除术中的麻醉效果及术后认知功能影响[J/OL]. 中华消化病与影像杂志(电子版), 2026, 16(02): 179-184.
[12] 孙钢. 零液氦磁共振成像系统的发展现状和展望[J/OL]. 中华消化病与影像杂志(电子版), 2026, 16(01): 1-5.
[13] 魏晓雅, 王旭, 蒋馨源, 杨娜娜, 王泽一, 屠建锋, 刘存志. 针刺治疗原发性高血压的磁共振成像临床研究进展[J/OL]. 中华针灸电子杂志, 2026, 15(01): 43-46.
[14] 中华医学会心电生理和起搏分会, 中国医学装备协会心律失常技术分会, 中国医师协会心律学专业委员会. 心血管植入型电子器械磁共振成像检查标准流程建议[J/OL]. 中华心脏与心律电子杂志, 2026, 14(01): 1-10.
[15] 刘安妮, 王怡宁. B型主动脉夹层无创影像评估新进展:血流动力学应用[J/OL]. 中华心脏与心律电子杂志, 2026, 14(01): 41-47.
阅读次数
全文


摘要


AI


AI小编
你好!我是《中华医学电子期刊资源库》AI小编,有什么可以帮您的吗?